简体中文  English
 
v体育(中国) 员工共享
当前位置:v体育(中国) > 业务领域 > 产品介绍 > 酯
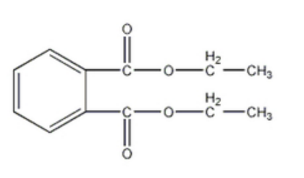
邻苯二甲酸二乙酯
邻苯二甲酸二乙酯
产品名称:邻苯二甲酸二乙酯
英文名称:Diethyl phthalate
中文别称:酞酸二乙酯
经营部门:溶剂部 
物化性质:
外观:无色、无臭、透明、微具有芳香性的澄清油状液体
密度: 1.11 g/cm³
闪点:(ºC,闭口):117;(ºC,开口):140
易溶于乙醇,乙醚,溶于丙酮,苯,四氯化碳,在水中几乎不溶, H402 对水生生物有害。
产品用途:
用作增塑剂,溶剂,润滑剂,定香剂,有色或稀有金属矿山浮选的起泡剂,气相色谱固定液,酒精变性剂,喷雾杀虫剂。
产品注意事项:
应与氧化剂、酸类分开存放,切忌混储。该品可燃,具刺激性。
 
业务领域
产品介绍
分支机构
粤ICP备19003013号
地址:广东省东莞市东城区旗峰路288号新世纪大厦8楼    电话:0769-22365555